第7版:论坛·综合

社会资本投资土地整理项目利益获取模式比较

  •   土地整理是实现耕地总量动态平衡的主要途径,社会资本投资土地整理项目对于增加土地效益和改善生态环境具有重要的作用,但社会资本的本性是要获利的。本文着重探讨现阶段土地整理项目中的社会资本的获利模式,并运用数学方法分析得出对政府和社会资本均有利的利益分配模式。
      一、研究背景
      目前,国内开展的土地整治项目,主要由政府投资实施。政府资金投入属于着眼公共目标的投入,主要是为了有效地增加耕地面积、提高耕地质量和改善农村生产生活条件,此类资金考虑经济上的回报较少;除了达到以上目标外,地方政府在此中的收获基本就是获得占补平衡所需要的补充耕地指标。
      2010年5月国务院出台《关于鼓励和引导民间投资健康发展的若干意见》提出:“鼓励民间资本参与土地整治”,“积极引导民间资本通过招标投标形式参与土地整理、复垦等工程建设”,这为民间资本参与土地整治明确了政策指向。之后,各地相继出台了实施办法。
      社会资本和政府投资在土地整理中的收益机制是不同的。社会资本着眼的是收益回报,而不具备单纯服务于公共利益的特征。社会资本在土地整理中的投入虽然能在客观上实现以上目标,但如果不能构建出一整套投资的收益回报机制,实现资金投入的正常收益,则无法吸引到社会资本进入。因此,要推动民间投资参与土地整治,开展市场化和产业化运作,核心问题是要科学地进行利益调整和分配。
      二、社会资本投资土地整理项目的收益途径
      社会资本投资土地整治项目的回报来源,取决于政府对土地整治后的升值收益进行合理分配。这种升值收益可以分为两大类:一类是农地新增生产能力收益,即通过增加面积、提高地力、配套水利设施便于机械耕作等获得的收益;一类是政策许可下的指标收益。
      有明确土地使用权的土地整治可以带来耕地面积的增加和质量的提高,从而提高产量,增加收益。民间投资者可以通过事先约定,从增加的收益中分成来实现投资回报。
      投资没有明确土地使用权的项目区,根据国家《土地管理法实施条例》第十七条规定:“开发未确定土地使用权的国有荒山、荒地、荒滩从事种植业、林业、畜牧业或者渔业生产的,经县级以上地方人民政府依法批准,可以确定给开发单位或者个人长期使用,使用期限最长不得超过50年。”投资人在经营土地的过程中获得收益。
      但土地整治带来年度耕种收益与投资额相比相差甚远,要以此来形成合理的投资回报是不可能,而且这种回报还存在很高的交易成本和不确定性,所以社会资本投资土地整理项目时几乎不考虑通过产量提高带来的收益因素。
      按《土地管理法实施条例》的规定:土地整理新增耕地面积的60%,可以用作折抵建设占用耕地的补偿指标。通过指标交易获得回报。这种方式可以迅速收回投资和得到回报。下文中,我们只研究交易补充耕地指标所获的收益分配问题。
      三、社会资本投资土地整理项目的收益获取模式
      从各地的实践来看,各地更多地采用“指标”交易获取收益的模式。不管是农户和农民集体,还是民间投资者,投资土地整理获得增减挂钩“指标”,可以进入市场交易。据调查,社会资本投资土地整理项目的回报分配方式种类较多,现分类列举如下:
      (一)按既定标准价格回购补充耕地指标
      如襄汾县按照新开发耕地的面积和质量评估等级,参考《山西省耕地开发周转基金管理暂行办法》(晋国土资发〔2015〕144号)中跨县域易地使用补充耕地指标费用标准,初步确定指标回购金额为:12等级1万元/亩;11等级1.25万元/亩;10等级1.5万元/亩;9等级2万元/亩;8等级以上2.5万元/亩。
      (二)基于总投资额和固定投资回报比率确定投资收益
      政府与民间投资在项目开展前签订合同时确定一个基本的投资额度预算和固定的投资回报率,在验收时对其资金投入数量进行审计核定,从本年度的土地出让收益中返还其投入资金,并按照约定的投资回报率拨付其收益,相当于把民间投资者作为工程项目的承建商。
      如忻州市人民政府关于社会投资耕地开发项目的实施意见明确了回报比率:政府根据建设用地需求,从已备案的项目中提取一定比例的指标,用于保障市、县两级政府基础设施和公共事业及重点项目建设。指标使用后一个月内,由财政按照项目实际总投资(项目总投资以项目审计报告最终审计结果为准)+项目实际总投资的5%支付投资人土地开发资金。
      (三)基于总投资额、交易利润和固定投资回报比率确定投资收益
      忻州市人民政府规定:市、县不使用的指标在交易市场对外交易,交易收益入财政相应科目。指标交易收益到账一个月内由财政按照项目实际总投资(以审计报告最终审计结果为准)+交易利润的15%的比例(最多不超过项目实际总投资的35%)支付投资人土地开发资金。
      (四)基于指标交易价值和固定分配比例确定投资收益
      四川遂宁安居区的一个案例中,采用的是政府与民间投资者按照1∶9的比例分配新增耕地指标;而江西赣县的一个土地开发项目采用的是3.5∶6.5的比例分配。
      (五)基于指标交易价格和投资成本共同确定利益分配比例
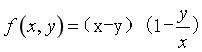
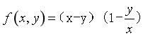
      襄汾县土地整理项目可按照项目实际成本支出+合理比例利润模式,除支付项目投资人实际支出成本外,再给予相应的利润奖励。利润奖励的具体计算公式为:利润=(指标交易价格-实际支出成本)×(1-实际支出成本/指标交易价格)。采取此模式时,项目的实际支出成本由县政府委托确定的审计部门出具的项目审计报告为准。若实际支出成本大于指标交易价格,县政府将不予回购。
      四、收益获取模式分析比较
      第一种收益方式最为简单,指标收入只与土地等级和数量有关,而与投资成本无直接关系。第二种收益方式只与投资总额相关,所以投资者想方设法让政府尽可能多地认定投资额即可获得更多的收益。所以这种方式操作漏洞较大。第三种方式与投资总额和指标交易利润相关。与第二种方式相比,引入了市场概念,体现了投资人收益应从出让收益中分配的概念。但仍未有效防止第二种方式的漏洞,同时,固定的交易利润分配比例不利于激发投资人主动降本增效的积极性。第四种收益方式与指标交易价格或价值有直接关系,将投资收益与指标价值直接挂钩,能真实有效反映出土地市场的供求关系和投资价值。但未考虑投资成本因素,尤其是如果投资人利益分配比例较低时,不利于引进民间投资。第五种方式中的投资收益与指标交易价格和投资成本两项数据有关。是第三种方式的升级,成功将第二种和第三种方式的缺点弥补。
      现在我们重点分析一下第五种利益分配方式:
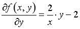
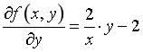
      假设指标交易价格为x,实际支出成本为y,则利润函数为
    (1)
      为分析利润随变量x和y的变动情况,分别对变量x和y求一阶导数,可得
    (2)

    (3)
      即利润变动率函数。
      因为y≦x,所以函数(2)的值不小于0。利润变动率为正数或零,即指标交易价格与利润正相关。
      再对函数(2)求极限可得:
      可见,当实现支出成本y不变,指标交易价格x越来越大时,利润变动率都是恒定不变的一个常数,也就是说利润的绝对值与指标交易价格x是线性相关,即利润与指标交易价格同倍变化。
      同理,因为y≦x,所以函数(3)的值不大于0。利润变动率为负数或零,即实际支出成本与利润负相关。如果成本增加,那么投资人所得利润就会减少。这就能有效防止投资人恶意虚报投资成本。
      再对函数(3)求极限,因为实际支出成本y须在x范围内,即y≦x。所以可得:
      可见,如果实际支出成本y在x的范围内逐渐增大,或者说无限趋近于x,则利润变动率为0,即利润不变。也就是说,实际支出成本无限趋近于指标交易价格时,投资人所得利润为0。从这一方面也能看出,这种方式能有效防止投资人恶意虚报投资成本。

    分享到:

    过往期刊

    • 第2017-09-04期

    • 第2017-09-03期

    • 第2017-09-02期

    • 第2017-09-01期

    • 第2017-08-31期

    • 第2017-08-30期

    • 第2017-08-29期

    • 第2017-08-28期

    • 第2017-08-27期

    • 第2017-08-26期

    分享到微信朋友圈